 |
|
 |
| Автор |
Сообщение
|
Евгений Колчин

Зарегистрирован: Чт 3 Октябрь 2002, 06:26
Сообщения: 10145
Регион: Москва
|
Добавлено:
Сб 27 Ноябрь 2010, 21:44
|
  |
Тема отделена от обращения С.Серегина.
| Серёгин С. И. писал(а): |
Открытое письмо сообществу печников России
Уважаемые коллеги!
........
Для того, чтобы поставить точку в спорах и действительно определиться с основным направлением дальнейшего развития отопительных теплоемких печей считаю необходимым провести независимые испытания совместными силами печного сообщества, а не ждать манны небесной от государственных структур. Печь, подвергаемая совместным испытаниям, должна по возможности наиболее полно реализовывать принцип СДГ в трактовке уважаемого Игоря Викторовича. Провести испытания необходимо "по Гамбургскому счету", обеспечив чистоту полученных результатов и с привлечением всех заинтересованных лиц и независимых экспертов. Комиссия может состоять из представителей, выдвинутых профессиональными объединениями печников.
Условия проведения испытаний и их методику можно обсудить на форумах, после чего эти исходные документы будут рассмотрены и утверждены независимой комиссией.
Председатель Гильдии печников Карелии,
Директор ООО "КАМИ" С.И.Серегин |
Для испытаний есть три отопительные печи с хлебными камерами: две по черному и одна по белому. На выбор.
Схема печи в отчете по испытаниям (см. Кузнецы) и фото на сайте И.Кузнецова.
Это Кузнецы.
Две другие больше по размеру (1250х1000 и 1170х1000) и футеровка лещадкой (обе на фото).
Определяемся с методикой и что будем сравнивать, хотя бы при закрытие СШ.
|
_________________ ************************************
Последний раз редактировалось: Евгений Колчин (Пн 6 Декабрь 2010, 15:10), всего редактировалось 1 раз |
|
      |
 |
Александр Бацулин

Зарегистрирован: Пт 17 Февраль 2006, 19:20
Сообщения: 928
Регион: Москва
|
Добавлено:
Вс 28 Ноябрь 2010, 01:06
|
  |
| Серёгин С. И. писал(а): |
| Потом мы просто герметично закроем сухие швы и превратим эту же печь в канальную на принципе ПДГ. При сравнении результатов будут сделаны какие-то выводы… |
При этом еще должно остаться хайло в верхней части ХК (или еще где-нибудь) подходящего размера. (Или д.б. возможность его организовать (без изменений остальных параметров печи). Иначе может выйти так, что печь перестанет тянуть или существенно ослабнет тяга при тех же режимах топки.
как-то так...
|
_________________ Здесь могла бы быть ваша реклама.
|
|
   |
 |
Евгений Колчин

Зарегистрирован: Чт 3 Октябрь 2002, 06:26
Сообщения: 10145
Регион: Москва
|
Добавлено:
Вс 28 Ноябрь 2010, 10:33
|
  |
| Александр Бацулин писал(а): |
| Серёгин С. И. писал(а): |
| Потом мы просто герметично закроем сухие швы и превратим эту же печь в канальную на принципе ПДГ. При сравнении результатов будут сделаны какие-то выводы… |
При этом еще должно остаться хайло в верхней части ХК (или еще где-нибудь) подходящего размера. (Или д.б. возможность его организовать (без изменений остальных параметров печи). Иначе может выйти так, что печь перестанет тянуть или существенно ослабнет тяга при тех же режимах топки.
как-то так... |
Я пока не понял к чему вы клоните и что собираетесь испытывать? Весь смысл этих манипуляций? Посмотреть насколько изменится КПД и СО? Или будем измерять частицы в ДГ?
Или тест на попадание в колпак наиболее горячих газов с отделением условно холодных излишек? Распределение температур по поверхности печи при разных схемах конвективной системы? Это совершенно разные испытания. Если по КПД с СО ответ уже имеется, то по выше затронутым параметрам вопрос. Вы просто хотите за зря потратить время? и при этом "умыть" разницей в КПД 2%?
А вопрос наличия газовой вьюшки? Он нам необходим или будем нарушать СП и ставить глухие задвижки? Или будем все же вносить поправки в законодательные акты?
Нужны испытания, направленные на выявление положительных качеств системы. Ну и отрицательных, конечно.
Второй вопрос -наличие "катализатора". Дает этот конструктивный элемент что то, например, состав ДГ до и после катализатора как меняется, влечет ли конструкторские изменения или потребительские.
|
_________________ ************************************
|
|
      |
 |
Сергей Кириллов

Зарегистрирован: Пт 30 Июнь 2006, 12:12
Сообщения: 374
Регион: г.Петрозаводск
|
Добавлено:
Вс 28 Ноябрь 2010, 11:01
|
  |
| Александр Бацулин писал(а): |
| При этом еще должно остаться хайло в верхней части ХК (или еще где-нибудь) подходящего размера. |
Да, замечание существенное... Проходное сечение после закрытия сухих швов не должно быть меньше чем "в кирпич" на всем пути дыма до дымовой трубы.
|
|
|
|
    |
 |
Сергей Кириллов

Зарегистрирован: Пт 30 Июнь 2006, 12:12
Сообщения: 374
Регион: г.Петрозаводск
|
Добавлено:
Вс 28 Ноябрь 2010, 11:22
|
  |
| Евгений Колчин писал(а): |
Я пока не понял к чему вы клоните и что собираетесь испытывать? Весь смысл этих манипуляций? Посмотреть насколько изменится КПД и СО? Или будем измерять частицы в ДГ?
Нужны испытания, направленные на выявление положительных качеств системы. Ну и отрицательных, конечно. |
Евгений, разница КПД в 2% никого не интересует. Насколько я понимаю, вопрос должен решиться в самом общем виде - действительно ли схема, которую называют "работающей по принципу СДГ" на голову выше схемы противотока (принцип ПДГ). Ни катализатор, ни подвод вторичного воздуха, по какой бы схеме он ни производился, не влияют на принцип. Влияет наличие сухого шва, который (как утверждают) превращает схему противотока в колпаковую со свободным движением газов. Давайте сначала внесем ясность в этот момент. Как это сделать, чтобы методика удовлетворила всех участников испытаний - вот в чем текущий вопрос. Что измерять, когда и сколько раз. Лично я пока не знаю. Надо разбираться, консультироваться, обсуждать. Судя по форумам, у нас много действительно думающих печников-практиков, способных внести свою лепту в этот процесс.
|
|
|
|
    |
 |
Андрей Ищенко
Проектировщик
Зарегистрирован: Вт 7 Февраль 2006, 10:08
Сообщения: 2946
Регион: Пенза
|
Добавлено:
Вс 28 Ноябрь 2010, 14:29
|
  |
| Серёгин С. И. писал(а): |
Для того, чтобы поставить точку в спорах и действительно определиться с основным направлением дальнейшего развития отопительных теплоемких печей считаю необходимым провести независимые испытания совместными силами печного сообщества, а не ждать манны небесной от государственных структур. Печь, подвергаемая совместным испытаниям, должна по возможности наиболее полно реализовывать принцип СДГ в трактовке уважаемого Игоря Викторовича. Провести испытания необходимо "по Гамбургскому счету", обеспечив чистоту полученных результатов и с привлечением всех заинтересованных лиц и независимых экспертов. Комиссия может состоять из представителей, выдвинутых профессиональными объединениями печников.
Условия проведения испытаний и их методику можно обсудить на форумах, после чего эти исходные документы будут рассмотрены и утверждены независимой комиссией.
Председатель Гильдии печников Карелии,
Директор ООО "КАМИ" С.И.Серегин |
Есть такие печи, можно испытывать. А потом сравнить с печами другой системы. На других испытаниях.
|
_________________ +7 962 974-10-94 Viber WhatsApp
+7 962 399-59-39
|
|
     |
 |
Александр Бацулин

Зарегистрирован: Пт 17 Февраль 2006, 19:20
Сообщения: 928
Регион: Москва
|
Добавлено:
Вс 28 Ноябрь 2010, 22:51
|
  |
| stas писал(а): |
| Почему противники печей системы СДГ проигнорировали три вполне конкретных и конструктивных предложения И.В. Кузнецова: 1 – софинансировать испытания котла СДГ в Полушкино |
А пожертвования от частных лиц принимаются?
| Цитата: |
| «давайте заткнем сухой шов и докажем, что его наличие/отсутствие не влияет на работу печи». Но ведь цель этого – не тестирование печи СДГ, а попытка опровергнуть одну из основ теории СДГ и поставить под сомнение ее эффективность. То есть цель здесь – дискредитировать систему СДГ в своих интересах. Хотя вначале противниками системы печей Кузнецова было высказано пожелание о тестировании и сравнении двух печей – СДГ и ПДГ |
Потому, что если мы заткнем СШ - то получим печь противотока в тех же габаритах. Это и будет сравнительными испытаниями. Можно испытать так и газовую вьюшку и потери с дымовыми. Т.е одна и та же печь но по разным системам - идеальные условия для сравнительных испытаний. Нелепо сравнивать "Печь Кузнецова" и "Простую шведку".
|
_________________ Здесь могла бы быть ваша реклама.
|
|
   |
 |
Александр Бацулин

Зарегистрирован: Пт 17 Февраль 2006, 19:20
Сообщения: 928
Регион: Москва
|
Добавлено:
Пн 29 Ноябрь 2010, 02:16
|
  |
| stas писал(а): |
| Если в печи Кузнецова герметично заткнуть сухой шов, то это будет колпаковая печь, а не печь противотока. |
Если говорить, например, о печи у Е.К. на даче - то это будет двухярусная печь. Нижний ярус - противоточный (можно также сказать параллельная конв. сист.), а верхний - колпак (условно, т.к. высота его чуть выше подвертки). Я так понимаю.
|
_________________ Здесь могла бы быть ваша реклама.
|
|
   |
 |
Евгений Колчин

Зарегистрирован: Чт 3 Октябрь 2002, 06:26
Сообщения: 10145
Регион: Москва
|
Добавлено:
Пн 29 Ноябрь 2010, 08:48
|
  |
| Сергей Кириллов писал(а): |
| Евгений Колчин писал(а): |
Я пока не понял к чему вы клоните и что собираетесь испытывать? Весь смысл этих манипуляций? Посмотреть насколько изменится КПД и СО? Или будем измерять частицы в ДГ?
Нужны испытания, направленные на выявление положительных качеств системы. Ну и отрицательных, конечно. |
Евгений, разница КПД в 2% никого не интересует. Насколько я понимаю, вопрос должен решиться в самом общем виде - действительно ли схема, которую называют "работающей по принципу СДГ" на голову выше схемы противотока (принцип ПДГ).
Влияет наличие сухого шва, который (как утверждают) превращает схему противотока в колпаковую со свободным движением газов. Давайте сначала внесем ясность в этот момент. Как это сделать, чтобы методика удовлетворила всех участников испытаний - вот в чем текущий вопрос.
Что измерять, когда и сколько раз. Лично я пока не знаю. Надо разбираться, консультироваться, обсуждать. Судя по форумам, у нас много действительно думающих печников-практиков, способных внести свою лепту в этот процесс. |
Александр, просто "заткнуть" ничего существенного не покажет. При правильно расчитанном, тем более на одном и том же топливнике, а так же все той же площадью поверхности тепловосприятия результат предсказуем.
Таких испытаний и замеров уже сделано под сотню и не только у меня. Есть на чем сравнивать. Разница будет только в прогреве внешних стенок печи и распределение температур по поверхности теплоотдачи.
Нужны "внутренние испытания" конструкции. Цифры, указывающие на работу "колпака", как во время топки, так и после. Распределение газов при топке и после, а так же их состав. Необходимо развеять миф о давление в печах и показать, что печь работает все же под разряжением, как и требует того регламент проектирования печей бытового назначения.
Как то так, наверно.
|
_________________ ************************************
|
|
      |
 |
Александр Бацулин

Зарегистрирован: Пт 17 Февраль 2006, 19:20
Сообщения: 928
Регион: Москва
|
Добавлено:
Пн 29 Ноябрь 2010, 11:36
|
  |
| Цитата: |
| Александр, просто "заткнуть" ничего существенного не покажет. При правильно расчитанном, тем более на одном и том же топливнике, а так же все той же площадью поверхности тепловосприятия результат предсказуем. |
А к чему тогда испытания? Т.е. система дает сопоставимые результаты КПД с системой противотока при такой же площади тепловоспр. поверхности. В чем тогда преимущества т.н. "Принципа НОВОГО сжигания" и пр. И где же прибавка КПД за счет отделения БАЛЛАСТНЫХ ГАЗОВ?
Хотя я думаю, что КПД чуть снизится с откр. СШ, но пока не об этом.
На счет давления - это бред, это и так ясно. В любой печи можно получить как разряжение (задвижку открыть, поддувало закрыть), так и давление (сделать наоборот). Вот где всегда давление повышенное - так это в простой РУССКОЙ. Т.к это простой колпак, и действительно без тяги.
|
_________________ Здесь могла бы быть ваша реклама.
|
|
   |
 |
Евгений Колчин

Зарегистрирован: Чт 3 Октябрь 2002, 06:26
Сообщения: 10145
Регион: Москва
|
Добавлено:
Пн 29 Ноябрь 2010, 12:49
|
  |
| Александр Бацулин писал(а): |
В чем тогда преимущества т.н. "Принципа НОВОГО сжигания" и пр.
И где же прибавка КПД за счет отделения БАЛЛАСТНЫХ ГАЗОВ? |
В колпаке, там где стоит "приемник", например котел или реторта.
И.Кузнецов: "При пропускании газового потока через колпак повышается КПД использования выделившегося тепла, так как уменьшается влияние балластных газов на теплообмен."
А чуть выше:
КПД энергоустановки складывается из:
-КПД изъятия энергии из топлива /топливника
-КПД использования выделившегося тепла /конвективной системы.
Если балласт отправить, например на рекупиратор, а не смешивать во втором колпаке, то тогда и результат по ГА будет совершенно иной.
И нужен ряд тестов, направленных именно на это. Например, замеры температур в реальном времени по вертикали колпака, а так же состав газов в топке, колпаке и в подвертке.
То, что нижний ярус в печах Кузнецова имеет т.н. "газовую вьюшку" то же не вызывает сомнений?
|
_________________ ************************************
|
|
      |
 |
Александр Бацулин

Зарегистрирован: Пт 17 Февраль 2006, 19:20
Сообщения: 928
Регион: Москва
|
Добавлено:
Пн 29 Ноябрь 2010, 14:52
|
  |
| Цитата: |
| При пропускании газового потока через колпак повышается КПД использования выделившегося тепла, так как уменьшается влияние балластных газов на теплообмен." |
Так вы же выше сказали, что разницы не будет при закрытом СШ. ?
|
_________________ Здесь могла бы быть ваша реклама.
|
|
   |
 |
Евгений Колчин

Зарегистрирован: Чт 3 Октябрь 2002, 06:26
Сообщения: 10145
Регион: Москва
|
Добавлено:
Пн 29 Ноябрь 2010, 15:42
|
  |
| Александр Бацулин писал(а): |
Так вы же выше сказали, что разницы не будет при закрытом СШ. ? |
Для КИТ -в нижнем ярусе или на всей печи?
Для всей печи будет, но незначительна, а вот для нижнего яруса -существенна.
Речь идет о нижнем ярусе в котором объединены в колпак и топка.
На них и направлены испытания, там и ищем "где собака".
Пример http://forum.stovemaster.ru/viewtopic.php?p=42664#42664
как определить окончание горения по температуре в трубе?
|
_________________ ************************************
|
|
      |
 |
Александр Бацулин

Зарегистрирован: Пт 17 Февраль 2006, 19:20
Сообщения: 928
Регион: Москва
|
Добавлено:
Пн 29 Ноябрь 2010, 16:12
|
  |
| Цитата: |
| Для всей печи будет, но незначительна. |
Конечно, для потребителя важно для всей печи. Для него печь - черный ящик. Он и знать не знает про ярусы. Я вот, к примеру, считаю что разница будет, но не в пользу СШ.
Как определить окончание горения... Снять все зависимости до момента когда в топке уже ничего нет и еще минут 30. А потом можно считать по разному - и на 4% СО2 (не путаю?) и на визуальное окончание и еще как-нибудь.
Эффективность газовой вьюшки (с СШ и без) можно проверить прямым образом - анемометр и разность т-р в течении неск. часов после протопки.
|
_________________ Здесь могла бы быть ваша реклама.
|
|
   |
 |
Евгений Колчин

Зарегистрирован: Чт 3 Октябрь 2002, 06:26
Сообщения: 10145
Регион: Москва
|
Добавлено:
Пн 29 Ноябрь 2010, 19:46
|
  |
| Александр Бацулин писал(а): |
Я вот, к примеру, считаю что разница будет, но не в пользу СШ.
|
Ошибаетесь, по КИТ и то разница, не говоря о теплоотдаче самой печи.
На эти эксперименты надо минимум по три дня на каждый вариант, с переходным периодом. А результат известен.
Но сама суть испытаний не в этом, а в том, что указал ранее и на что акцентировал С.Кириллов. Не рассматривать в узком плане бытовую печь, а рассматривать, Как новую систему сжигания.
| Цитата: |
| у нас много действительно думающих печников-практиков, способных внести свою лепту в этот процесс. |
Задачи поставленные С.Серегиным:
- поставить точку в спорах
- определиться с основным направлением дальнейшего развития отопительных теплоемких печей
- провести независимые испытания совместными силами печного сообщества
- Печь, подвергаемая совместным испытаниям, должна по возможности наиболее полно реализовывать принцип СДГ в трактовке уважаемого Игоря Викторовича
- Провести испытания необходимо "по Гамбургскому счету",
- обеспечив чистоту полученных результатов и с привлечением всех заинтересованных лиц и независимых экспертов
- Условия проведения испытаний и их методику можно обсудить на форумах
- исходные документы будут рассмотрены и утверждены независимой комиссией
Эти совместные испытания дадут серьезный толчок к дальнейшему развитию печного дела в России и, наконец, прекратят то противостояние, которое мы сейчас наблюдаем.
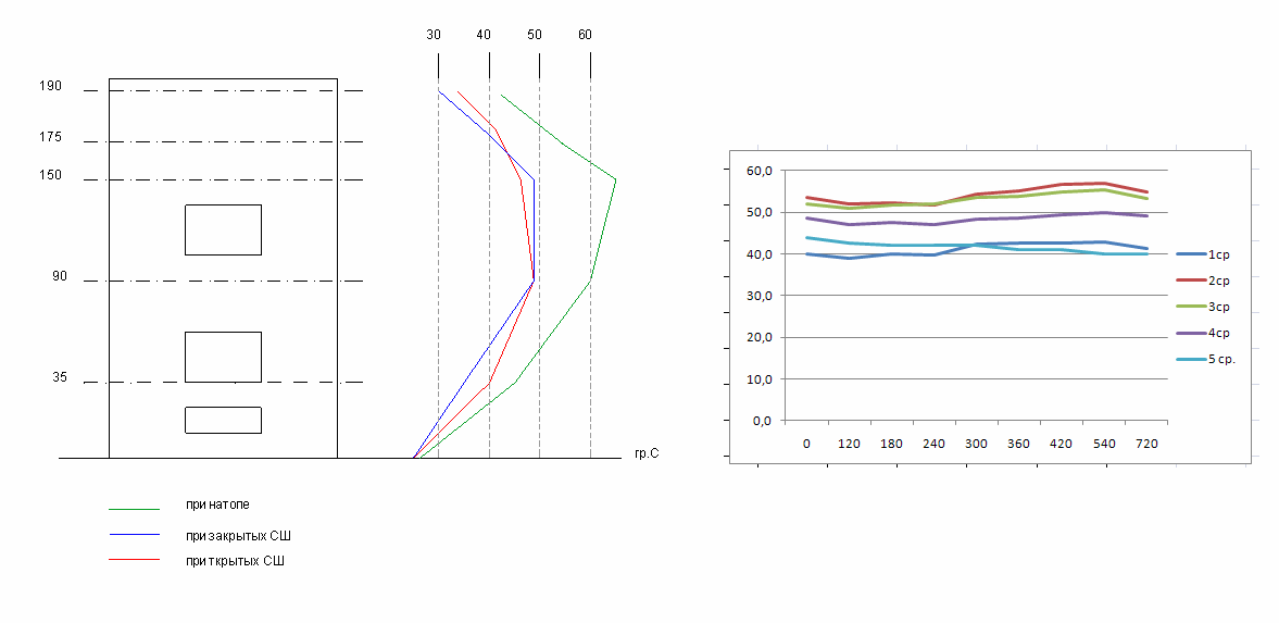
Я только "ЗА", но жалко будет потраченное время на то, что и делать не стоит, поскольку уже давно проделано. В край сделать, как вспомогательный тест.
По строительству печей уже сократили время и затраты. Печи выстроены, просушены и работают. Выбирай любую. Все порядовки и даже фото порядовой кладки есть.
|
_________________ ************************************
| Описание: |
|
| Размер файла: |
15.31 КБ |
| Просмотров: |
1374 раз(а) |

|
| Описание: |
|
| Размер файла: |
111.89 КБ |
| Просмотров: |
1029 раз(а) |

|
|
|
      |
 |
Александр Бацулин

Зарегистрирован: Пт 17 Февраль 2006, 19:20
Сообщения: 928
Регион: Москва
|
Добавлено:
Пн 29 Ноябрь 2010, 20:32
|
  |
| Евгений Колчин писал(а): |
| Ошибаетесь, по КИТ и то разница, не говоря о теплоотдаче самой печи. |
А вот у Серегина почему-то по другому получилось. Совместные испытания покажут (если они состоятся).
|
_________________ Здесь могла бы быть ваша реклама.
|
|
   |
 |
Евгений Колчин

Зарегистрирован: Чт 3 Октябрь 2002, 06:26
Сообщения: 10145
Регион: Москва
|
Добавлено:
Пн 29 Ноябрь 2010, 20:40
|
  |
| Цитата: |
Печь, подвергаемая совместным испытаниям, должна по возможности наиболее полно реализовывать принцип СДГ в трактовке уважаемого Игоря Викторовича
|
вот от этого и отталкиваемся
| Цитата: |
Снять все зависимости до момента когда в топке уже ничего нет и еще минут 30. А потом можно считать по разному - и на 4% СО2 (не путаю?) и на визуальное окончание и еще как-нибудь.
|
В методике должно быть четко прописано. Я остаюсь при своей точке: 25% от пикового значения.
| Цитата: |
| А вот у Серегина почему-то по другому получилось. |
т.к. он испытывал печь противотока с прогарами
С прогарами потерпели фиаско и канадцы.
Прогары для печи противотока -плохо.
|
_________________ ************************************
Последний раз редактировалось: Евгений Колчин (Пн 29 Ноябрь 2010, 20:43), всего редактировалось 1 раз |
|
      |
 |
Александр Бацулин

Зарегистрирован: Пт 17 Февраль 2006, 19:20
Сообщения: 928
Регион: Москва
|
Добавлено:
Пн 29 Ноябрь 2010, 21:02
|
  |
| Цитата: |
| С прогарами потерпели фиаско и канадцы. |
Это где написано?
| Цитата: |
| В методике должно быть четко прописано. Я остаюсь при своей точке: 25% от пикового значения. |
Сняв полную зависимость (до полного прогорания) можно посчитать по разному - и так и сяк, а потом обсудить. Посмотреть разницу, сделать выводы. Длинее опыт - больше информации.
|
_________________ Здесь могла бы быть ваша реклама.
Последний раз редактировалось: Александр Бацулин (Пн 29 Ноябрь 2010, 21:07), всего редактировалось 1 раз |
|
   |
 |
Евгений Колчин

Зарегистрирован: Чт 3 Октябрь 2002, 06:26
Сообщения: 10145
Регион: Москва
|
Добавлено:
Пн 29 Ноябрь 2010, 21:03
|
  |
а там, где они перфоратором прогар делали в топке у Норберта
там же куча испытаний с прогаром
|
_________________ ************************************
|
|
      |
 |
Александр Бацулин

Зарегистрирован: Пт 17 Февраль 2006, 19:20
Сообщения: 928
Регион: Москва
|
Добавлено:
Пн 29 Ноябрь 2010, 21:15
|
  |
СШ и прогар - суть одно и тоже д.б.
(впрочем эти разговоры уже по второму кругу пойдут).
|
_________________ Здесь могла бы быть ваша реклама.
|
|
   |
 |
|
|
|
Следующая тема
Предыдущая тема
Вы не можете начинать темы Вы не можете отвечать на сообщения Вы не можете редактировать свои сообщения Вы не можете удалять свои сообщения Вы не можете голосовать в опросах Вы не можете добавлять приложения в этом форуме Вы можете скачивать файлы в этом форуме
|
|